Разновидности проектов
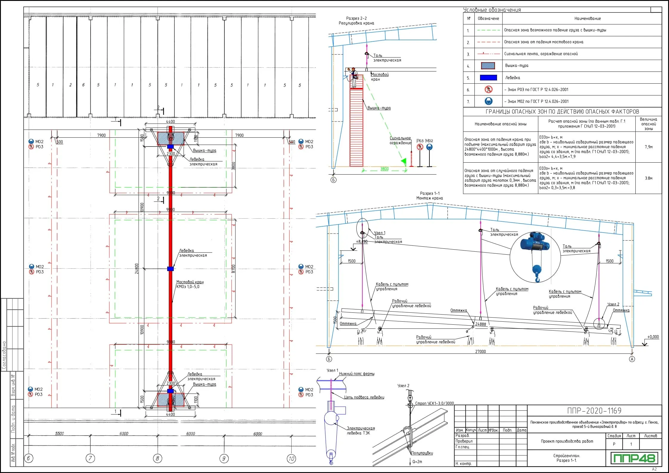
Наиболее распространенными видами кранов для которых выполняют проекты производства работ являются козловые, мостовые и башенные. Как правило такие ПС монтируют с помощью мобильных подъемных сооружений (на собственном ходу). Способ монтажа зависит от конструктивных особенностей того или иного сооружения. В первом случае доставленные на объект сборочные единицы металлоконструкций монтируют посекционно - одна за одной, наращивая каркас сооружения. В другом случае конструкцию монтируют на уровне земли в зоне сборочного стапеля. Затем конструкцию стропят и поднимают целиком. В процессе подъема сооружение занимает проектную геометрическую конфигурацию. Геодезическая служба снимает точки конструкции. После проверки положения подъемного сооружения происходит его окончательная выверка и фиксация. Все эти нюансы нужно подробно отразить во всех разделах проекта производства работ на установку крана, чем сотрудники нашей организации занимаются весьма успешно.
Как мы выполняем ППР на установку кранов 
Специалисты ППР48 осуществляют разработку ППР на монтаж ПС мостовых или козловых по заявкам строительных компаний и специализированных организаций. Заказчик получает полный пакет необходимой документации, составленной в строгом соответствии с требованиями действующих нормативно-правовых актов. Процедура создания проекта производства работ по установке ПС регламентируется Градостроительным кодексом РФ и рядом федеральных законов. В ходе подготовки документации специалисты также руководствуются положениями СП 48.13330, СП 48.13331, МДС 12-81-2007 и МДС 12-29.2006. Пакет организационно-технологической документации подлежит обязательному согласованию, утверждению и регистрации в установленном порядке.
Особенности разработки проекта
Монтаж подъемно-транспортный техники — процесс исключительно сложный и ответственный. Начало любых операций без ППР на монтаж кранов является грубейшим нарушением действующего законодательства и правил.
Разработка проекта производства работ осуществляется в следующей последовательности:
- Выполняется расчет сроков монтажа мостового или козлового крана;
- Составляется расписание выполняемых технологических операций;
- Определяется потребность в кадрах конкретных специальностей для проведения необходимых технологических операций;
- Составляются спецификации необходимого оборудования и материалов;
- Разрабатываются поэтапные инструкции на проведение всех технологических операций;
- Осуществляется подготовка планов и чертежей;
- Разрабатывается подробная пояснительная записка;
- Оформляются разделы по охране труда в составе ПЗ.




































